平面向量的模长怎么计算?
平面向量的模长怎么计算?
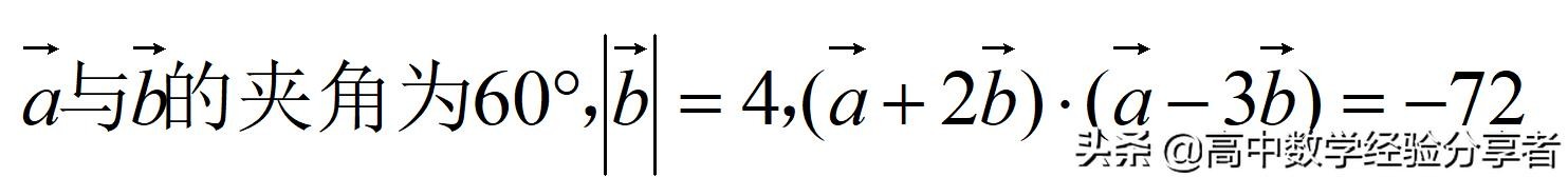
例1.若平面向量

则向量a的模为______。
分析:
1) 首先就是读题,读题后,整理条件可知,能处理的条件就只有等式。
2) 将等式展开求解:

3) 此时你会发现其中的未知数就只存在一个,那么将这个等式求解出来就可以得到最后的结果。
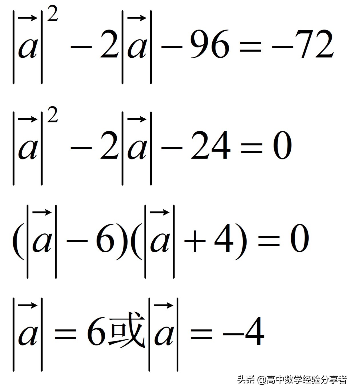
4)

5) 向量的模长是非负数,因此将负数的模长舍弃。
6) 因此求得结果为6。
例2.

分析:
1) 根据题目中的条件,我们发现我们能处理的条件就只有一个,就是两个向量的和的模长是可以处理的,其它的条件都是单一条件没有办法处理。
2) 已知的模长处理的方式就是平方,处理过程如下:

3) 此时已经解得了两个向量的夹角的余弦值是多少,现在已知的条件已经处理完成了,就需要去处理未知,我们需要求解的目标,一个向量的模长,同样采取的方式是平方。
4)

5) 这里需要读者们注意一下,将模长平方之后,不要忘记了开根号,这才是最后的结果。
6)

因此求解出结果。
-
- 乒乓球:中华骄傲的国球
-
2026-04-21 16:10:46
-
- 陇州社火,黄土地上的艺术盛宴
-
2026-04-21 16:08:32
-
- 海南国税网上申报系统(优化版)全新上线
-
2026-04-21 16:06:18
-
- 固镇县垓下遗址展示馆成功入选!
-
2026-04-21 16:04:03
-
- 搞趣网:踢球也能有福利 《小小足球》赞助宝箱登场
-
2026-04-21 16:01:49
-
- 等高线地形图上区分山脊和山谷,太简单了
-
2026-04-21 15:59:35
-
- 大天鹅的“冬季恋歌”
-
2026-04-21 15:57:20
-
- SKTFaker直播妖姬操作依然犀利依然 惨遭李青在空中踢死
-
2026-04-21 15:55:06
-
- 【我的大学——高招直通车】西安交通大学招办老师开播
-
2026-04-21 15:52:52
-
- 做香辣羊蹄,记住这几步,想吃羊蹄不用愁。香辣软烂满满胶原蛋白
-
2026-04-21 15:50:37
-
- 西安石油大学举行“铁人思政”AI思政智能体创新中心揭牌仪式
-
2026-04-21 15:48:23
-
- 天府之国:一眼两千年!成都科技园片区发现6000座古墓
-
2026-04-21 15:46:09
-
- 一文读懂保研,免试攻读研究生,关键在两点
-
2026-04-20 22:12:37
-
- 希望用正义的子弹结束唐山所有凶徒的性命
-
2026-04-20 22:10:23
-
- 深港澳资本市场高端论坛共议发展,刘健:推进一体化意义重大,深圳金融业占比
-
2026-04-20 22:08:09
-
- 平凉庄浪云崖寺游人络绎不绝
-
2026-04-20 22:05:54
-
- 惊艳亮相!北京龙庆峡冰灯冰雪季开幕
-
2026-04-20 22:03:40
-
- 和3000点永远说再见
-
2026-04-20 22:01:25
-
- 好吃的卤菜有这些?
-
2026-04-20 21:59:11
-
- 购买年金险要想不被坑,就必须懂现值与终值
-
2026-04-20 21:56:57



联邦制国家与中央集权制国家的简介
肾虚公子——内斯塔