标准正态分布公式(含例题)
标准正态分布公式(含例题)
正态分布由两个参数μ和σ确定,对任意一个服从N(μ,σ²)分布的随机变量X,经式1变换(随机变量的标准化变换)都可以转换为μ=0和σ=1的标准正态分布

公式1
当μ和σ未知时,可以利用样本均数x-和标准差s对数据进行标准化为式2,即:

公式2
实际应用中,经z变换可把求解任意一个正态分布曲线下面积的问题,转化成标准正态分布曲线下相应的面积问题。附表给出了标准正态分布曲线下z值左侧尾部面积,利用标准正态分布可求出原始变量X在任意区间的概率值。
由于标准正态分布曲线以0为中心左右两侧完全对称,故表中只列出了z值的负数部分,当z>0时可以使用:
Φ(z)=1-Φ(-z)
z在区间(z1,z2)的概率计算公式为:
P(z1<z<z2)=Φ(z2)-Φ(z1)

标准正态分布曲线下面积示意图
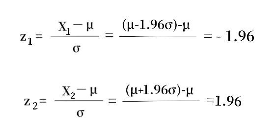
例题1
若X~N(μ,σ²),试计算X取值在区间μ±1.96σ上的概率。先做标准化变化,求X所对应的z值,根据公式1计算

通过查附表1,由两式可得

即X的取值在区间μ±1.96σ上的概率为95%。

附表1
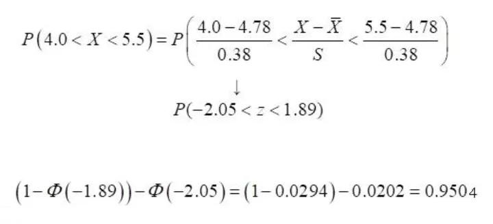
例题2
已知某地140名正常成年男子红细胞计数近似服从正态分布,Xˉ=4.78×10¹²/L, S=0.38×10¹²/L,试估计:①该地正常成年男子红细胞计数在4.0×10¹²/ L以下者占该地正常成年男子总数的百分比。②红细胞计数在4.0×10¹²/L~5.5×10¹²/L者占该地正常成年男子总数的百分比。
估计红细胞计数在某个范围内的人数占总人数的比例,可以转化为求此区间内正态分布曲线下面积问题。
(1)将X=4.0代入公式2得

于是问题转化成了求标准正态分布z值小于-2.05的概率,查附表1得Ф(-2.05) =0.0202,表明该地成年男子红细胞计数低于4×10¹²/L者约占该地正常成年男子总数的2.02%。
(2)分别计算X1=4.0和X2=5.5所对应的z值

表明红细胞计数在4.0×10¹²~5.5×10¹²/L者约占该地正常成年男子总数的95.04%。
-
- 杨钰莹和赖文峰分手26年后都怎么样了
-
2025-10-15 11:58:46
-
- 盘点网上那些美女性感跳舞
-
2025-10-15 11:56:30
-
- 名单出炉!曲阜一服务机构上榜!
-
2025-10-15 11:54:15
-
- 湖南部分景点推荐
-
2025-10-15 11:52:00
-
- 哈尔滨植物园赏秋景
-
2025-10-14 18:11:31
-
- 潮流创意男生女生通用姓氏头像,一共27张,好看不重样
-
2025-10-14 18:09:16
-
- 「广西南宁」南湖公园
-
2025-10-14 18:07:01
-
- 李湘分享14岁女儿在英国留学生活照,空气里都弥漫着钱的味道!
-
2025-10-14 18:04:46
-
- 不可思议!印度性侵案高发,再有16岁女生在公交上遭五人轮奸!
-
2025-10-14 18:02:31
-
- 怎么回事?长风公园里的“小仙鸟”,活生生吃成了胖企鹅!
-
2025-10-14 18:00:16
-
- 宁波限购范围是如何确定的?接下来买房要注意什么?官方解答来了
-
2025-10-14 17:58:00
-
- 来成都游玩一定要来趟洛带古镇,它是“世界的洛带,永远的客家”
-
2025-10-14 17:55:45
-
- 江苏哪个城市是你没听说过的?网友: 分不清楚常熟和常州
-
2025-10-14 17:53:30
-
- 《哪吒2》把蜘蛛侠挤出前七!中国动画这次玩真的了?
-
2025-10-14 17:51:15
-
- 斗罗4代男女主角,7个神王,白秀秀躺赢,唐舞桐和霍挂输得彻底
-
2025-10-14 17:49:00
-
- 冬季电动车充电秘诀:2要3不要,延长电池寿命的绝招!
-
2025-10-14 17:46:44
-
- 点赞!泉州惠安乡贤许世辉再捐1000万元,奖励全县优秀师生!
-
2025-10-14 17:44:29
-
- 南京的大学排名一览表:除南京大学,东南大学,其他高校排名情况
-
2025-10-14 17:42:14
-
- 洛阳养子沟的秋韵景色,引无数游客竞折腰
-
2025-10-14 17:39:59
-
- 弥补小米9 Pro遗憾,realme X2 Pro这配置绝了,玩游戏不要太爽
-
2025-10-14 17:37:43



北京故宫出现灵异事件,多名游客看到宫女、太监
终于!微信可以分组了